校园新闻
三明市农业学校成功举办2025年世界读书日系列活动(二) ——“以字传情,笔墨生香”第二届汉字书写(硬笔)百人大赛



近日,我校成功举办第二届“规范汉字书写(硬笔)百人大赛”,活动以“以字传情,笔墨生香”为主题,吸引了全校200余名学生同台竞技,在横竖撇捺间展现汉字之美,传承文化之魂。
笔墨凝书香,赛场展风采
比赛开始前,学校特别设置书法文化启蒙环节,邀请孙启煌老师开设"半小时书法工作坊”讲座,通过现场零距离示范,深度解码汉字从甲骨文到碑帖流变的艺术密码。孙启煌老师从笔锋力道到章法气韵层层剖析,引领观众在提按转折间体悟东方美学精髓,更精心设计“问墨寻踪”师生对话环节,通过哲思叩问与技法解疑的双向互动,让千年翰墨智慧在思辨交融中焕发新生,于薪火相传间续写文化基因。之后,比赛在学校鸿雁餐厅正式拉开帷幕。参赛学生按年级分组,以硬笔书写指定经典诗文及原创主题内容。比赛现场井然有序,选手们全神贯注,提笔落墨间或遒劲有力,或清秀工整,一幅幅作品既彰显规范汉字的严谨,又饱含个性表达的灵动。


以字载道,传承文化
胡安生副校长在世界读书日启动仪式致辞中强调:"汉字承载着中华文明五千年的文化基因密码,规范书写是传承民族精神的重要载体。本次活动不仅是汉字书写的技艺切磋,更是一堂沉浸式的文化育人课堂,旨在引导学子以笔墨为媒,在横竖撇捺间深植文化自信,于笔墨方寸中厚植家国情怀。"赛事期间,获奖作品通过校园“学生优秀书法作品展”及官方微信公众号进行线上线下同步展示,引发广泛关注与热议,师生们纷纷驻足品鉴书法神韵,交流创作心得。
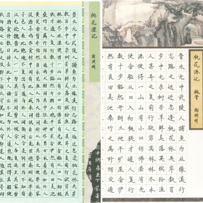
一等奖作品展示

二等奖作品展示

三等奖作品展示

以赛促学,成果丰硕
经过激烈角逐,最终评选出一等奖2名,二等奖5名,三等奖7名。

本次大赛以“小汉字”书写“大情怀”,既是对学生书写能力的锤炼,也是对中华优秀传统文化的赓续弘扬,为校园文化增添了一缕沁人墨香。
撰稿:江顺炜、罗燕英
图片:邓小梅
编辑:揭淑荣
初审:郑君强
复审:胡安生
审核:陈文优



闽公网安备:35042702350457号